Wird geladen ...
Buch
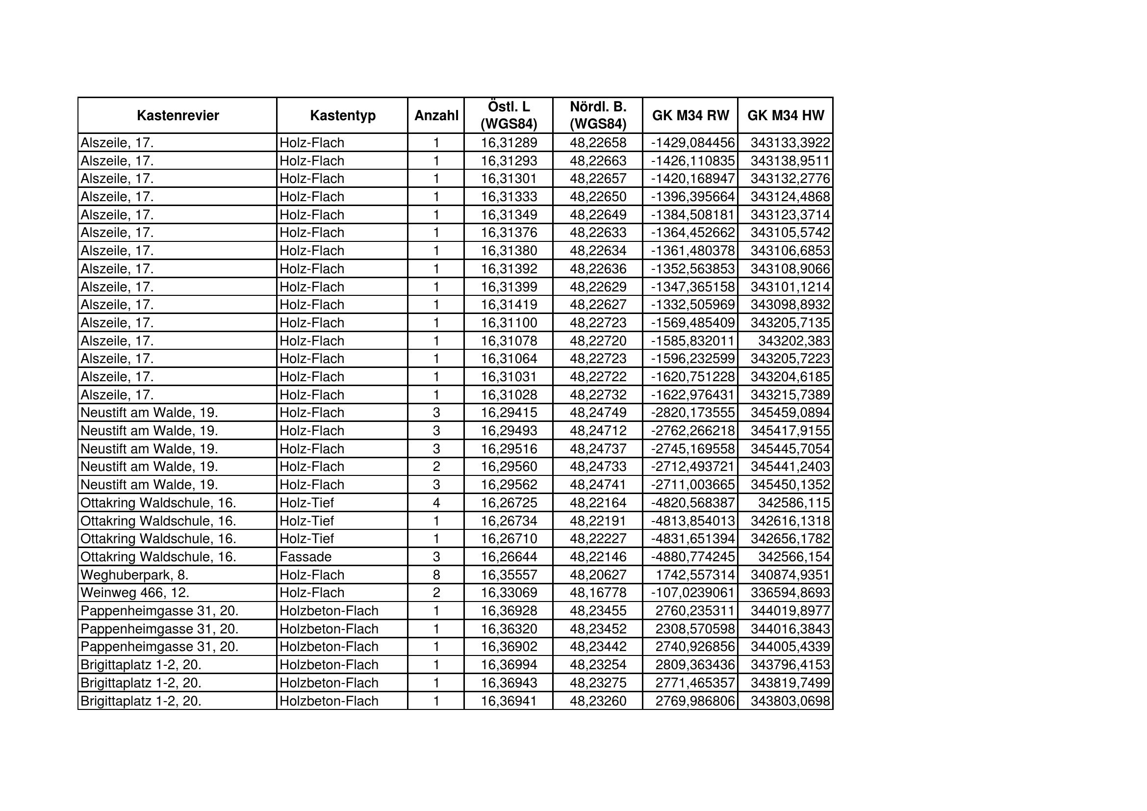
Fledermaus-Ersatzquartiere in Wien [...] Fledermausveranstaltungen in Wien : Kontrolle der im Rahmen von Netzwerk Naturgeschaffenen Ersatzquartiere : Lange Nacht der Stadtwerke – Tag der Artenvielfalt – Fledermausnacht Hirschstetten / KFFÖ ; Bearbeiter Ulrich Hüttmeir & Dr. Guido Reiter ; Im Auftrag der MA22 – Umweltschutz
Entstehung
Einzelbild herunterladen
verfügbare Breiten