Wird geladen ...
Buch 
Auswirkungen auf die Insekten-Fauna­ durch die Umrüstung von Kugelleuchten­ auf LED-Beleuchtungen : eine Auftragsstudie der Stadt Wien (MA 33 Wien Leuchtet) zu den quantitativen Auswirkungen auf nacht- und dämmerungsaktive Insekten (Insecta), im Zuge der Modernisierungsmaßnahmen der Leuchten auf der Donauinsel (Wien) / Verfasser Martin Soneira
Entstehung
Einzelbild herunterladen
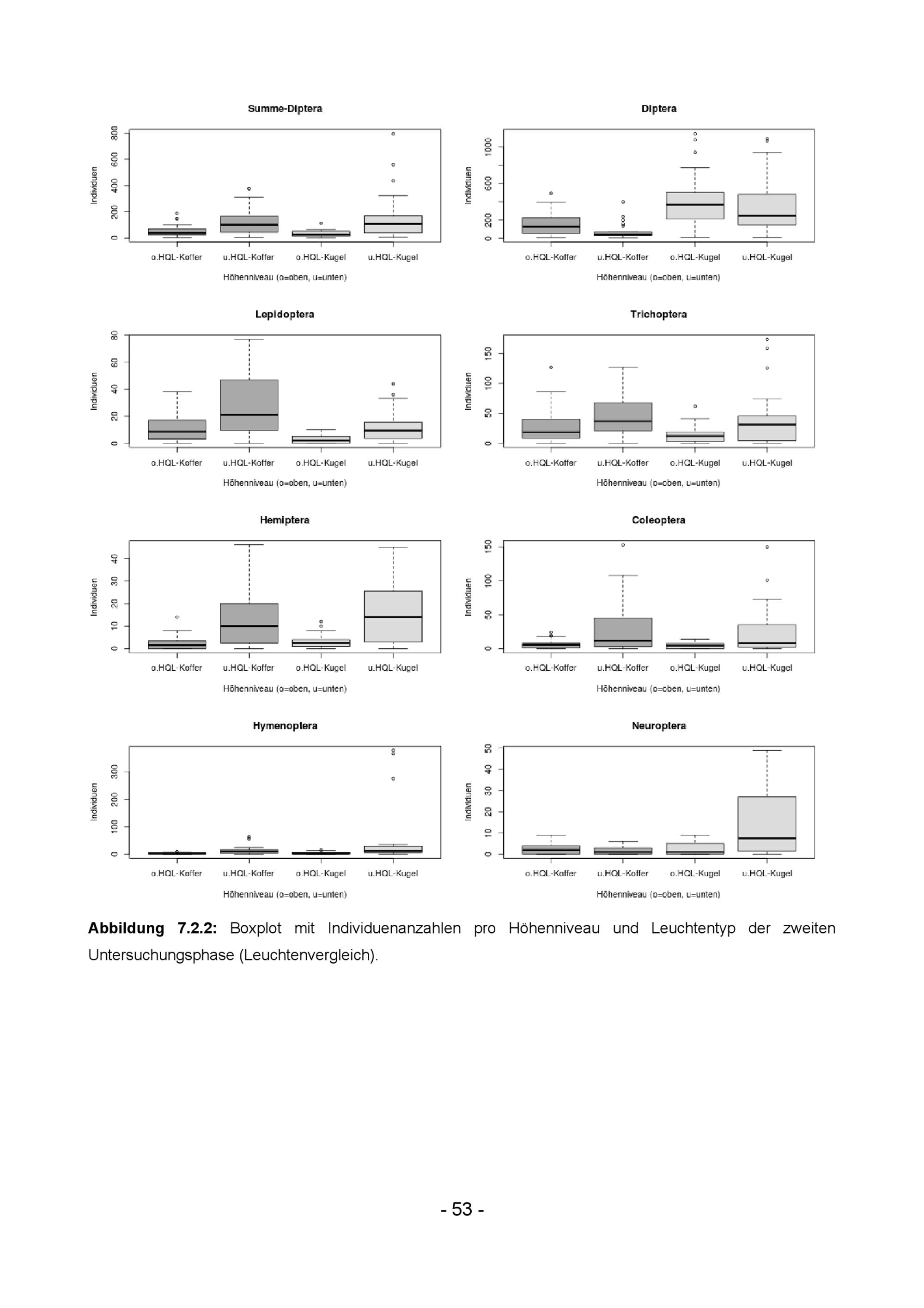
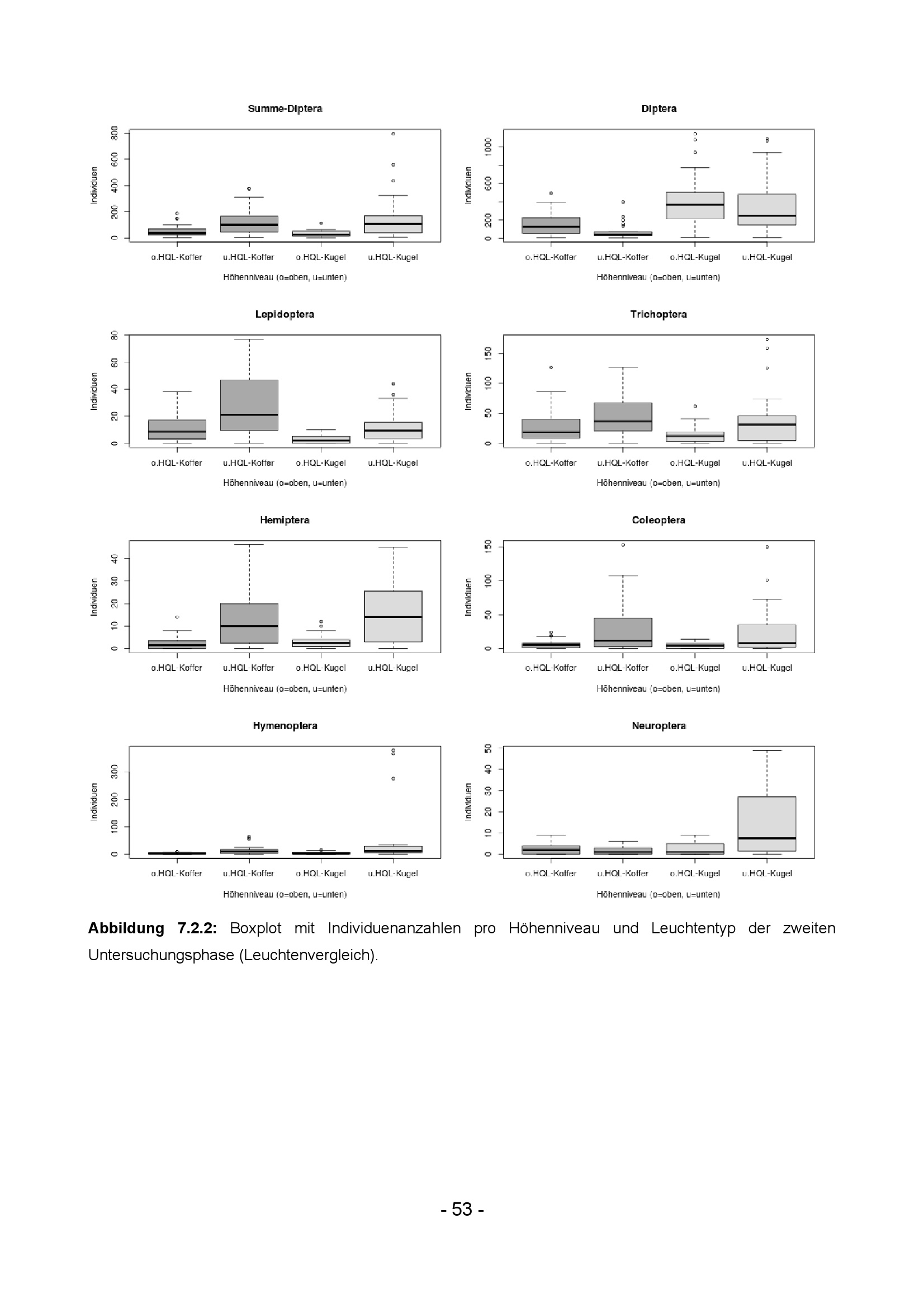
  Seite