Wird geladen ...
Buch
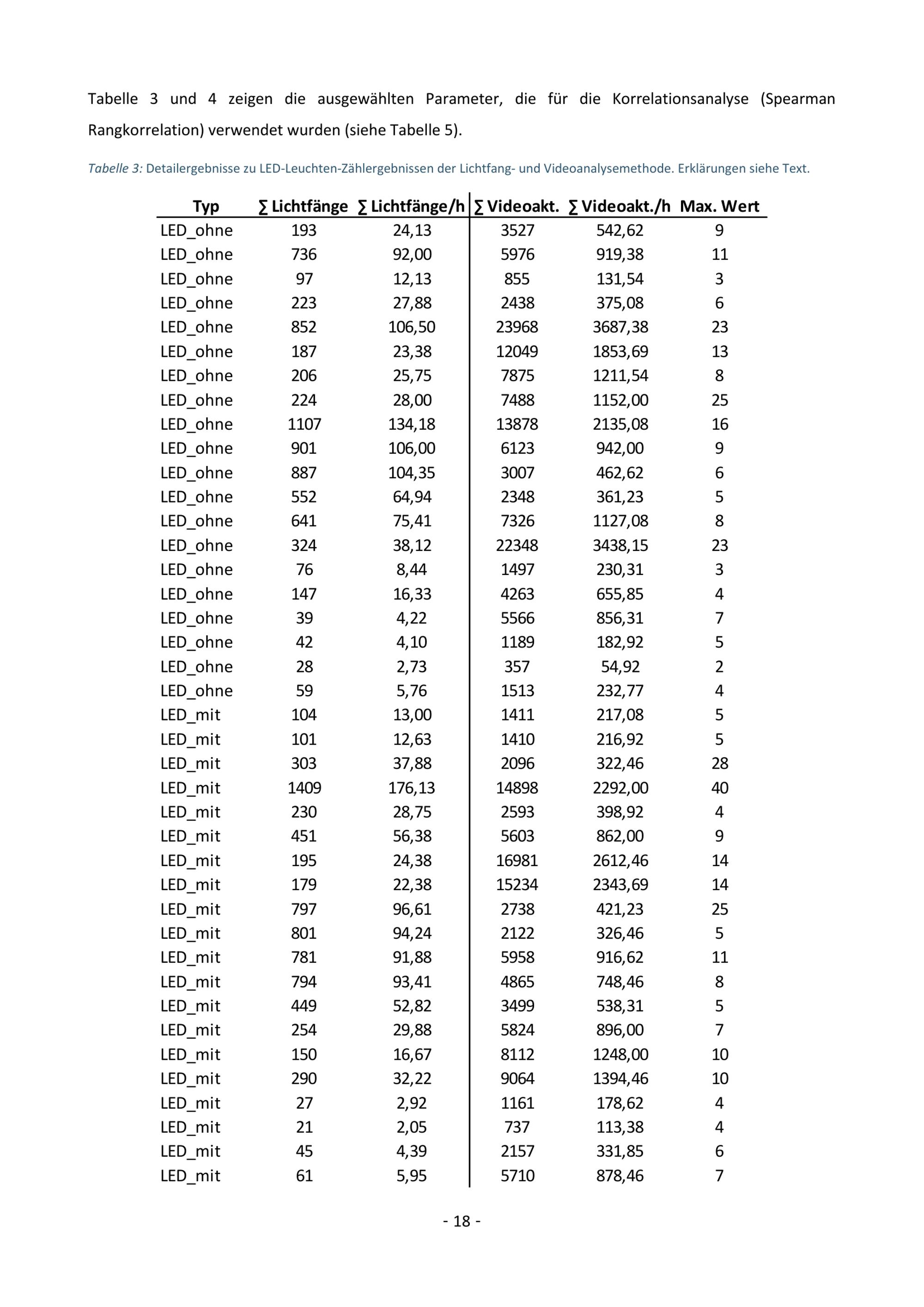
Bericht zu den Auswirkungen von Blendschute und Halbnachtschaltung auf nachtaktive Insekten, sowie deren Flugzeitrhythmen und Aufenthaltszeiten an LED- und Langfeldleuchten : eine Auftragsstudie von Wien Leuchtet (MA 33 der Stadt Wien) / Verfasser Martin Soneira
Entstehung
Einzelbild herunterladen
verfügbare Breiten